HELP TOPICS
DOWNLOAD

F.E.M. 1.001 (3rd, 1998)

F.E.M. 1.001 (3rd, 1998) performs the static stress check and fatigue check for the steel structures of crane and crane equipment. Fatigue calculations are performed according to the Allowable Stress Design method (ASD).

To add F.E.M. 1.001 standard execute Standards - Main - Other - F.E.M. 1.001 (3rd, 1998) from the ribbon:

Standards_FEM

Press FEM 1.001 (3rd, 1998) | Help | SDC Verifier to Set Standard Custom Settings

To perform the fatigue check three classifications should be defined: Weld Type, Element Group and Material Type.

Weld Type - also called Notch Case, determines which elements belong to what weld type (K0-K4 - joints affected by welding, W0-W2 - elements and joints, not affected by welding). Weld Type depends on the shape, structural design, whole pattern or type and quality of the welds.

Element Group - depends on the Load Spectrum and Class of Utilization (number of cycles). Can be set from E1 to E8.

Load Spectrum:

The load spectrum characterizes the magnitude of the load acting on the component during its total duration of use.

Load Spectrum Remarks
P0 Very light P=0 Crane by exception loaded with the working load, and as a rule, with very light loads
P1 Light P=1/3 Crane sometimes loaded with the working load, and as a rule with loads of about 1/3 of the working load
P2 Moderate P=2/3 Crane repeatedly loaded with the working load, and as a rule with loads between 1/3 and 2/3 of the working load
P3 Heavy P=1 Crane frequently loaded with the working load

Class of utilization (number of cycles):

Symbol Total duration of use number n of stress cycles)
B0 n 16 000
B1 16 000 < n 32 000
B2 32 000 < n 63 000
B3 63 000 < n 125 000
B4 125 000 < n 250 000
B5 250 000 < n 500 000
B6 500 000 < n 1 000 000
B7 1 000 000 < n 2 000 000
B8 2 000 000 < n 4 000 000
B9 4 000 000 < n 8 000 000
B10 8 000 000 < n

Element Group (Table T.2.1.4.4):

Stress Spectrum class Class of utilization
B0 B1 B2 B3 B4 B5 B6 B7 B8 B9 B10
P1 E1 E1 E1 E1 E2 E3 E4 E5 E6 E7 E8
P2 E1 E1 E1 E2 E3 E4 E5 E6 E7 E8 E8
P3 E1 E1 E2 E3 E4 E5 E6 E7 E8 E8 E8
P4 E1 E2 E3 E4 E5 E6 E7 E8 E8 E8 E8

Material Type - define which steel is used St37 or St52.

Standard uses material data (Yield/Tensile) in calculations. Wizard checks if the values are defined for all materials.

By default, the full model is set for the selection, but it is possible edit the selection.

Press Button_gamma to define safety factors for static stress check for individual loads and loads sets should be defined:

FEM 1.001 (3rd, 1998) | Help | SDC Verifier

Use Hot Spot Stress - use Hot Spot Stress results for locations defined in Weld Finder Tool or Weld Stress results in the fatigue checks.

The fatigue calculations (2..Fatigue) are performed on Load Group only, stress range from load group is required. Check "3..Fatigue Summation" performs additional calculations and sum damage from different load groups based on stress history defined in Fatigue Group.

Standards_FEM_menu

Include Rainflow Counting - include rainflow fatigue summation check with defined result category and method from which Rainflow Counting data will be used.

Note: category options for fatigue are Weld Stress or Hot Spot Stress.

Note: this option is available only for Enterprise licensing.

Static Check

The allowable stress is limited <0.7.For steels with high elastic limit allowable stress is corrected with formula in chapter 3.2.1.1

FEM_formula_allowable_stress

For the shear direction the allowable stress is divided on √3

Fatigue Check

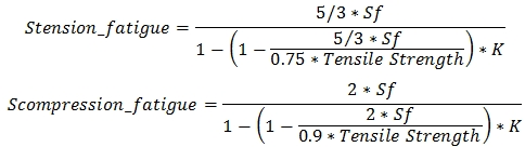
The Kappa factor is the ratio between minimum and maximum stresses

FEM 1.001 (3rd, 1998) | Help | SDC Verifier

For K-factor [-1;0]:

FEM 1.001 (3rd, 1998) | Help | SDC Verifier

For K-factor (0;1]:

FEM 1.001 (3rd, 1998) | Help | SDC Verifier

Where Sf – the allowable stress fatigue when K=-1. The Stress fatigue can be set by the exact value or by setting the crane group and the weld type

Coefficient = 1 – for the normal and equivalent stresses.

Coefficient =FEM 1.001 (3rd, 1998) | Help | SDC Verifier – for the shear stress with the weld classification K0-K4.

Coefficient =FEM 1.001 (3rd, 1998) | Help | SDC Verifier– for the shear stress the with weld classification W0-W2.

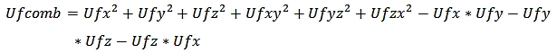
Utilization factor fatigue (is calculated for the directions X, Y, Z, XY, YZ and ZX):

FEM 1.001 (3rd, 1998) | Help | SDC Verifier

Combined utilization factor fatigue is calculated using the following formula (the sign of Ufx, Ufy and Ufz are taken into the account) :

FEM 1.001 (3rd, 1998) | Help | SDC Verifier

Maximum Utilization factor fatigue:

FEM 1.001 (3rd, 1998) | Help | SDC Verifier