HELP TOPICS
DOWNLOAD

Tools

The following tools are available:

Export Model to File - creates a text file with materials, properties, nodes and elements ids without the model data. The file is used to debug user problems without having the customer model.

Free Edge

Free Edge Tool automatically finds free edges between the elements.

Tools | Help | SDC Verifier

To open Free Edge execute Tools - Main - Free Edge from the ribbon.

Free_edge_finder

Press Find and the table will be filled with the groups of elements that have Free Edges;

Press All to select all groups from the list and None - to deselect;

Tools | Help | SDC Verifier - preview the selected groups of elements;

Tools | Help | SDC Verifier

Tools | Help | SDC Verifier - highlight the selected groups of elements;

Tools | Help | SDC Verifier

Tools | Help | SDC Verifier - export selected groups to groups;

Tools | Help | SDC Verifier - export selected groups to components.

Mass Tuner

Mass Tuner is used to set mass and automatically calculate density for materials.

To edit Mass Tuner execute Tools - Main - Mass Tuner from the ribbon.

Mass_Tuner

Tools | Help | SDC Verifier - edit digits after dot.

It is possible to set new mass or density and other will be calculated automatically.

Additional information (material delta mass, overall new mass, and overall delta mass) shows a clear picture of mass changes.

Distribute Uniformly function allows adding additional mass to the model by distributing it uniformly. E.g. 2000 kg is distributed for 2 materials by 1000 kg:

Mass_Tuner

The tool supports an import from Clipboard (Excel). Copy one column with Mass or Density data select one cell (where you would like to start) and press Tools | Help | SDC Verifier.

Press OK to appy changes to Femap model.

Mass and COG Table

Mass and Center of Gravity Table is used to automatically calculate mass and center of gravity characteristics on the user-defined selections.

To add Mass and Center of Gravity execute Tools - Main - Mass and COG Table from the ribbon.

Mass_and_COG_table

Selection - elements that will be intersected with the selections defined below;

Elements Count - first value is the amount of elements that were found on Selection. Second value is the total amount of elements that exist in the model;

COG X, Y, Z - coordinates of the center of gravity;

Mass - mass of the selection.

Note: Overall row is a Mass of all selections.

Selections can be defined using Selection List Control.

Moment Shear Force

In order to check the validity of a ship Moment Shear Force can be performed.

To add Moment Shear Force execute Tools - Main - Moment Shear Force from the ribbon.

Moment Shear Force | SDC Verifier

Select loads using Multiple Loads Selector.

Define selection using Selector Control.

Force/Moment X/Y/Z - select what Forces and Moments to display in the table;

Coordinate system - present results in the selected coordinate system;

Horizontal - axis along the length of the model;

Model Length - defined automatically = Maximum - Minimum along the Horizontal axis;

Portside - axis along the height of the model (perpendicular to the Horizontal axis);

Step - model Length is divided by steps in a number of the locations where Forces and Moments will be calculated (N = Moment Length / Step).

By default forces and moments are calculated around [0;0;0]. Selection option Redefine Origin and click Tools | Help | SDC Verifier to select the location on the model. Press Tools | Help | SDC Verifier to set the origin to average coordinates from selection for all axes and min coordinate for the horizontal axis.

Moment Shear Force Step  | SDC Verifier

Sum of Forces and Moments are calculated based on Grid Point Forces/Moments. Pay attention that the results are included in the analysis.

For Load Group it is possible to show Min/Max/Abs values and also show loads from load group that contains min/max values (Relevant Min/Max).

Press Fill Table to display the results.

Tools | Help | SDC Verifier - select direction and display plot:

Moment Shear Force Plot | SDC Verifier

Thickness Plot

Thickness plot is created to display plate elements thicknesses for flat elements selections like frames, decks and longitudinals.

It displays a nice plot with the properties thicknesses using the text labels. The position of a label is calculated to be on the top of the elements with the same property:

Thickness_plot

To add Thickness Plot execute Tools - Main - Thickness Plot from the ribbon.

Thickness_plot_add

Flat selections (as frames) are recommended to be used for thickness plots. The selection can be defined in 3 ways:

Tools | Help | SDC Verifier - select section from the panel finder;

Tools | Help | SDC Verifier - select a group;

Tools | Help | SDC Verifier - define any custom selection using Selector Control.

It is required to select the View for the plot. It can be chosen from the list or imported from active view. To edit the selected view options press Tools | Help | SDC Verifier.

Font Size can be set from 8pt to 32pt. By default 8pt size is used.

In most cases, the default value of an Angle may not be changed. Only in the case when the selection is quite curved or for a hull, it should be increased. If too many labels are displayed on the area with the elements of the same property, increase the Angle option. For a hull 30 degrees are recommended.

Tools | Help | SDC Verifier

Four types of data can be displayed on the labels: plate thickness; property ID; ID and Title; ID, Title and Thickness:

Tools | Help | SDC Verifier

Press Tools | Help | SDC Verifier to display a plot.

To add thickness plots for all sections at once execute Tools - Thickness Plots - Create Multiple from the tree.

Thickness_plot_create

In the Create Multiple Thickness Plots dialog instead of one selection - multiple selections can be defined using Selection List Control. As a result, multiple plots are created:

Tools | Help | SDC Verifier

Moment Ratio

Moment Ratio calculates Kc, Am (As4100) and Bm (Eurocode3) factors, Cb reduction factor (AISC), Cm - moment ratio on the ends of members found by Beam Member Finder.

It is used in the moment reduction factors calculations in the following standards: API 2A RP (table D.3-1), ISO 19902 (table 13.5-1) and Norsok N004 (table 6-2):

Tools | Help | SDC Verifier

And moment reduction factors according to Eurocode3 (table 6.6):

Tools | Help | SDC Verifier

Cb (Aisc2010) lateral-torsional buckling modification factor for AISC360-10 is calculated for the Moment Ratio Torsional Y and Z:

Moment_ratio_Cb_factor

Cb lateral-torsional buckling modification factor for AISC ASD 89 (Section F1.3) is calculated for Moment Ratio Torsional Y and Z:

Moment_ratio_Cb_factor_lateral

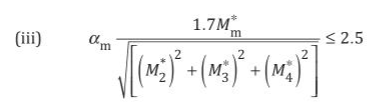
Am Moment modification factor for AS 4100 (Cl 5.6.1.1(a)(iii)) is calculated for Moment Ratio Torsional Y and Z:

Moment_ratio_Am_factor | SDC Verifier

Bm Equivalent uniform moment factor for EN 1993-1-2:

Moment_ratio_Cb_factor_lateral

Four moment ratio tools are created by default for length y, length z and length torsional members with Y/Z moment ratios. To edit the respective Moment Ratio execute Tools - Main - Moment Ratio - Moment Ratio Y/Z / Torsional Y/Z from the ribbon.

Moment_ratio

Moments Type:

  • Local Axes - take moments M1 and M2 from the local axes of the cross section;
  • Principal Axes - take moments M1 and M2 from the principal axes of the cross section. If principal axes coincide with local axes - moments in local axes will be used;
  • M1(end min) and M2(end max) - the bending moment on the ends of the beam member;

    M1/M2 - the moment ratio between the ends of the beam member;

    Min/Max - the minimum/maximum bending moment over the full member;

    Kc - the reduction factor according to Eurocode3, Part 1-1 Table 6.6;

    Cb (Aisc89) - the lateral-torsional buckling modification factor according to AISC ASD 89;

    Cb (Aisc2010) - the lateral-torsional buckling modification factor according to AISC360-10;

    Am (As4100) - Moment modification factor for AS 4100 (Cl 5.6.1.1(a)(iii));

    Bm (EC3 Fire Design) - Equivalent uniform moment factor according to Eurocode3, Part 1-2 Figure 4.2;

    Select Load using Load Selector Control.

    Tools | Help | SDC Verifier - plot moment ratios (M1/M2) for the selected members;

    Moment_ratio_plot

    Tools | Help | SDC Verifier - plot ids for the selected members;

    Tools | Help | SDC Verifier - plot Cm Type for the selected members. Cm type can be changed in Beam Member Finder:

    Moment_ratio_cm

    Tools | Help | SDC Verifier - plot Kc factor;

    Tools | Help | SDC Verifier - plot Cb factor for AISC ASD 89 or AISC 360-10;

    Tools | Help | SDC Verifier - plot Am factor for AS 4100;

    Tools | Help | SDC Verifier - plot Bm factor for Eurocode3 Fire Design;

    Tools | Help | SDC Verifier - highlight the selected beam members;

    Tools | Help | SDC Verifier - preview only selected beam members.

    For the selected member the bending moment diagram is displayed. End moments, Min/Max over the full member are shown with labels:

    Moment_ratio_labels

    Example: Calculation of the reduction moment factors Cm according to ISO 19902:

    Tools | Help | SDC Verifier

    Weld Summation Tool

    Weld Summation tool is used to summarize Grid Point Forces that will be used in Weld Checks to calculate the Weld Stresses.

    Weldsummation

    Press Button_automatically_highlight_one_beam to automatically highlight a single selected weld/weld part from the list.

    There are two methods available:

    • Summarize per weld part - summarize forces at all welded nodes of the respective weld part. Mesh-independent and each weld part is treated as a structure;
    • Summarize (Elemental-Nodal) - summarize forces at each welded node from respective weld part elements. Result depends on the mesh and the force distribution over the nodes;

    Show results only for welded parts - display only welded parts of the welds in the table. The non-welded parts do not provide results in weld checks.

    Select Load using Load Selector Control.

    Press Fill Table to display results.

    Summarize per weld part

    This method is used for the straight welds. Weld length and a coordinate system are taken from the Weld Finder Tool.

    Weldsummation_plot

    Forces are summarized over the weld nodes (41 - 47) using elements only from the respective weld part (101 - 126).

    Weld part origin is used to calculate a moment arm for extra moments from the forces.

    After forces are summarized, they are transformed into a weld part coordinate system.

    Summarize (Elemental-Nodal)

    This method summarizes forces at each welded node from respective weld part elements. Besides, the weld length and a coordinate system are calculated for each weld node taking into account neighbor weld part elements.

    Weld length is a sum of the half of the length of vector between adjacent weld nodes (L1 - L5 on the picture below):

    Weld line

    Note: For non-welded nodes, the result is taken from welded nodes by the following rules:

    - For Element 1: FN10 = Average (FN1, FN2)

    - For Element 2: FN10 = FN9 = FN2

    - For Element 5: FN8 = FN3; FN7 = FN4

    For each weld element, additional offsets and moments are computed individually, utilizing adjacent elements from weld parts positioned at perpendicular angles (within 90 degrees, with 5 degrees tolerance).

    The offset is determined using half the average thickness of neighboring weld part elements:

    Weld offset

    When midside nodes are present, the weld length calculation is performed as follows:

    The weld length for each node takes into account the presence of intermediate nodes along the weld line. The following approach is used for calculation:

    For a corner node: the length is calculated as the distance from this node to the nearest midside node.

    For a midside node: the length is calculated as the sum of half the distance to the previous node and half the distance to the next node.

    For example, if we have a sequence of nodes N1, M1, N2, M2, N3 (where M1 and M2 are midside nodes), then:

    - For N1: Length = |N1-M1|

    - For M1: Length = |M1-N1|/2 + |M1-N2|/2

    - For N2: Length = |N2-M1|/2 + |N2-M2|/2

    - For M2: Length = |M2-N2|/2 + |M2-N3|/2

    - For N3: Length = |N3-M2|

    Forces at each node are calculated considering all connected elements. Midside nodes allow for more accurate representation of the weld geometry, especially for curved connections.

    Tools_warning

    Tools | Help | SDC Verifier - open Weld Finder Tool to recognize welds;

    Press Clear all results to recalculate forces. All results in weld checks will be cleared automatically after confirmation:

    Tools_warning

    Tools | Help | SDC Verifier - highlight selected weld parts;

    Tools | Help | SDC Verifier - preview selected weld parts;

    Tools | Help | SDC Verifier - display criteria plot for selected direction:

    Weld_part_full

    Note: Force and moments for the elemental method will show the absolute maximum value on the element from among its welded nodes.

    Tools | Help | SDC Verifier - display colored weld plot with weld ids as labels;

    Tools | Help | SDC Verifier - display forces as labels for selected weld parts;

    Tools | Help | SDC Verifier - display moments as labels for selected weld parts;

    Note: Forces and moments labels for the elemental method will display the values from all the welded nodes of the element.

    Tools | Help | SDC Verifier - draw coordinate systems based on selected Method. Per full weld, the method uses information from the Weld Finder Tool. Elemental-Nodal method calculates a coordinate system at each node. Averaged vectors from the neighbor elements are used:

    Weldsummation_over_nodes

    Tools | Help | SDC Verifier -detailed information about a single weld part, including results for each element/node.

    Weld_part_info

    Effective Plate Width

    Effective Plate Width - calculates effective plate width for a stiffener subjected to longitudinal, transverse and shear stress according to DNV-RP-C201 Buckling strength of plated structure, Chapter 7.3 Effective plate width. Also, it calculates η coefficient (formula 7.37) from chapter 7.5.2 Torsional buckling of stiffeners.

    Tools Effective Width Example

    To edit Effective Plate Width execute Tools - Main - Effective Plate Width from the ribbon:

    Tools Effective Width

    Select Load using Load Selector Control and press Fill Table. List of all sections with stiffeners and their related plates will be shown.

    Tools | Help | SDC Verifier - highlight selected plates/stiffeners;

    Tools | Help | SDC Verifier - preview selected plates/stiffeners;

    It is possible to display plot with results as labels:

    Tools Effective Width Plot Menu

    To see the details of the calculations select a single plate and press Tools | Help | SDC Verifier:

    Tools Effective Width Details

    Stress Gradient

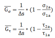
    Related Stress Gradients - is calculated to reduce peak stresses at the defined points of the model.

    Calculations are based on normal and shear stress amplitudes at the reference point and point below the surface according to Equation 4.3.16 of Analytical Strength Assessment of Components in Mechanical Engineering, 5th Edition, 2003:

    Stress Gradient Formula | SDC Verifier, where

    σ1a, τ1a - stress amplitudes at the reference point;

    σ2a, τ2a - stress amplitudes in a distance Δs;

    Δs - the distance between the reference point and the neighboring point below the surface;

    Stress Gradient Graph | SDC Verifier

    Note: Stress Gradient is calculated on free edge nodes of shell elements for their top and bottom points of interest.

    To edit Stress Gradient execute Tools - Main - Stress Gradient from the ribbon.

    Stress Gradient Tool | SDC Verifier

    Select Load Group using Load Selector Control.

    Tools | Help | SDC Verifier - add condition by type;

    Tools | Help | SDC Verifier - edit selected condition;

    Tools | Help | SDC Verifier - copy selected conditions;

    Tools | Help | SDC Verifier - remove selected conditions;

    Tools | Help | SDC Verifier - highlight selected conditions on the model;

    Tools | Help | SDC Verifier - preview selected conditions on the model;

    Tools | Help | SDC Verifier - plot stress gradients as contour plot for all calculated elements;

    Define conditions and press Fill Table to display results.

    Stress Gradient Conditions

    Stress Gradient is calculated for each point of interest (top and bottom) of all reference nodes. The condition can be added by the following types:

    Inward - select elements using Selector Control to find free edge nodes automatically (reference points) and take neighbor nodes (points below the reference point) from the selected elements to calculate stress gradient coefficient:

    Stress Gradient Inward Details | SDC Verifier

    By Element Thickness - select elements using Selector Control to find free edge nodes automatically (reference points) and take the opposite points of interest for each node (points below the reference point) from the selected elements to calculate stress gradient coefficient:

    Stress Gradient Thickness Details | SDC Verifier

    By Custom Nodes - pick reference/related elements and set points below the surface manually:

    Stress Gradient Condition Custom Nodes | SDC Verifier

    Tools | Help | SDC Verifier - pick element/node from the model;

    Tools | Help | SDC Verifier - update the list of nodes of Related/Reference element;

    Tools | Help | SDC Verifier - apply selected related node to all selected reference nodes in the list;

    Stress Gradient Custom Nodes Details | SDC Verifier

    Related Element - stresses at the related nodes will be taken from this element. Pick an element from the model or set manually;

    Reference Element - list of reference nodes will be recognized automatically from the free edges of the element. Stresses at the reference nodes will be taken from this element. Pick element from the model or set manually;

    Related Nodes - points below the surface to calculate the stress gradient;

    Reference Nodes - reference points to calculate the stress gradient.

    Brace Stress Tool

    Brace Stress Tool is used to calculate axial, in-plane and out-of-plane bending stresses for braces and chord of connections recognized in Connection Finder. Calculations are based on axial force and bending moments, area and elastic section modulus of the cross section at the joint node.

    Brace Forces | SDC Verifier

    Chord Forces | SDC Verifier

    To open Brace Stress Tool execute Tools - Main - Braces Stress from the ribbon.

    Brace Stresses Main Window | SDC Verifier

    Select Load using Load Selector Control.

    Define selection using Selector Control

    Tools | Help | SDC Verifier - highlight the selected braces on the model;

    Tools | Help | SDC Verifier - display only selected braces on the model;

    Tools | Help | SDC Verifier - export selected braces using Export Menu;

    Tools | Help | SDC Verifier - export the table data to Excel;

    Tools | Help | SDC Verifier - open Connection Finder tool.

    Press Fill Table to display info on the set parameters.

    Press Clear All Results to clear results for all calculated loads.

    Brace Classification Tool

    Brace Classification Tool is used to calculate percentage of brace classification (K, TY, Cross) in the connection depending on what load is applied.

    To open Brace Classification Tool execute Tools - Main - Classification from the ribbon.

    Brace Stresses Main Window | SDC Verifier

    Select Load using Load Selector Control.

    Define selection using Selector Control.

    Tools | Help | SDC Verifier - highlight the selected braces on the model;

    Tools | Help | SDC Verifier - display only selected braces on the model;

    Tools | Help | SDC Verifier - export selected braces using Export Menu;

    Tools | Help | SDC Verifier - export the table data to Excel;

    Tools | Help | SDC Verifier - open Connection Finder tool.

    Press Fill Table to display info on the set parameters.

    Press Clear All Results to clear results for all calculated loads.

    Force Tolerance Percent - minimum percentage tolerance to check the tension and compression forces of all braces from one side of the chord (upper or lower) are balanced.

    Method - calculate brace classification by one of the methods described below. Braces are classified into K, TY, and Cross (X) types. The order of recognition for all methods is the following: K -> Cross (X) -> TY.

    K - tension and compression loads are balanced.

    TY - tension or compression load goes as a shear force in a chord.

    Cross (X) - Connection has to contain braces from both sides to check on cross joint.

    Note: If the brace has zero force, the joint type for such brace is set to TY.

    Total Force Method

    Total Force Method is based on the summed axial forces of all braces from one side of the connection by checking if they are balanced.

    Example:

    We have connection with 3 braces from one sided of the chord and 3 braces from other side of the chord with their initial forces. Calculations start from summarizing forces that are perpendicular to the chord at each side of the connection:

    Tools | Help | SDC Verifier

    K calculations:

    Algorithm checks if FTotal is tension (all compression braces are 100% K) or compression (all tension braces are 100% K) at each side of connection. Rest of the braces are calculated by the following formula: Min(|FTension|, |FCompression|) / Max (|FTension|, |FCompression|) * 100%.

  • Br1 and Br4 are 100% K because they are compressive and FTotal is tension at both sides of connection;
  • Br2 and Br3 K type = |-1000| / |1490| * 100% = 67.12%;
  • Br5 and Br4 K type = |-1000| / |2190| * 100% = 45.66%;
  • Tools | Help | SDC Verifier

    Cross (X) calculations:

    If FTotal from both sides of chord are of the same sign - cross type is calculated. Braces from the side with the smaller FTotal are set to Cross (X) = 100% - K%. Braces from side with bigger force are calculated by formulas: FTotal / FCompression if brace is in compression and FTotal / FTension if brace is in tension. FTotal in this case is taken from the side with smaller value.

  • Br2 and Br3 Cross (X) type = 100% - 67.12%K = 38.88%;
  • Br5 and Br6 Cross (X) type = |490| / |2190| * 100% = 22.37%;
  • Tools | Help | SDC Verifier

    TY calculations:

    After eliminating all the forces from all the braces that were used in K and Cross (X) calculations, all the forces that left on braces will provide shear in the chord and consequently are set to TY type.

  • Br5 and Br6 TY type = 100% - 45.66% - 22.37% = 31.97%;
  • Tools | Help | SDC Verifier

    Left-to-Right Method

    Left-to-Right Method is based on comparing axial forces of the each pair of neighbor braces. Calculations start from the brace with the smallest angle to the chord to the last brace of one side of connection. If both edge braces have the same angles - default brace is chosen as a start brace.

    Example:

    We have connection with 3 braces from one sided of the chord and 3 braces from other side of the chord with their initial forces. Calculations start from the braces from each side of the chord with the smallest angle to the chord (Br1 and Br4 respectively):

    Tools | Help | SDC Verifier

    K calculations:

    Algorithm checks all forces for each pair of braces from each side of connection on force balance:

    Step 1. 500 force units are balanced between Br2 and Br1

  • Br2 becomes 100% K as no more force units can take part in further calculations;
  • 500 force units from total of 1000 have been balanced, consequently Br1 K type = 500 / 1000 * 100% = 50%;
  • Step 2. 500 force units are balanced between Br3 and Br1

  • Br1 becomes 100% K type as no more force units can take part in further calculations
  • 500 force units from total of 990 have been balanced, consequently Br3 K type = 500 / 990 * 100% = 50.51%;
  • Step3. 1000 force units are balanced between Br5 and Br4

  • Br4 becomes 100% K as no more force units can take part in further calculations;
  • 1000 force units from total of 1200 have been balanced, consequently Br5 K type = 1000 / 1200 * 100% = 83.33%;
  • Tools | Help | SDC Verifier

    Cross (X) calculations:

    Forces are taken from the braces of the opposite sides of connection but the order of braces is kept, starting from the smallest angle:

    Step 1. 200 force units from Br5 work together with 200 force units of Br3 in opposite directions from each other (both tension) that will not provide shear in the chord, consequently Br5 becomes Cross (X) type = 200 / 1200 * 100% = 16.17%;

    Step 2. 290 force units from Br6 work together with 290 force units of Br3 in opposite directions from each other (both tension) that will not provide shear in the chord, consequently Br6 becomes Cross (X) type = 290 / 990 * 100% = 29.29%;

    Step 3. 490 force units from total of 990 initial force units of Br3 becomes Cross (X) type = 490 / 990 * 100% = 49.49%;

    Tools | Help | SDC Verifier

    TY calculations:

    After eliminating all the forces from all the braces that were used in K and Cross (X) calculations, all the forces that left on braces become shear will provide shear in the chord and consequently are set to TY type

    Step 1. 700 force units of Br6 of total 990 initial force units become TY type = 700 / 990 * 100% = 70.71%; Or in other words: TY = 100% - K% - Cross (X)%: = 100% - 0% K - 29.29% Cross (X) = 70.71%;

    Tools | Help | SDC Verifier

    Gap

    Gap is a minimum distance between two differently loaded braces (tension and compression, or K type) measured on a shell of the chord. It is possible that brace can have two or more gaps to considerate, in this case Total Gap parameter is a sum of all gaps multiplied on percentage of each that depends on the percentage of the taken load:

    Tools | Help | SDC Verifier

    Projected - brace axial force that is perpendicular to the chord;

    FTension - sum of all tensile projected axial forces;

    FCompression - sum of all compressive projected forces.

    Example of gaps:

    Tools | Help | SDC Verifier

    Rainflow Counting

    Rainflow Counting method is used to determine the number of fatigue cycles that is based on a load-time history. It is used in the analysis of fatigue data in order to reduce a spectrum of varying stresses into a set of simple stress reversals. This simplification allows the number of cycles until failure of a component to be determined for each rainflow cycle using either Miner's rule to calculate the fatigue damage, or in a crack growth equation to calculate the crack increments.

    To open Rainflow Counting Tool execute Tools - Main - Rainflow Counting from the ribbon.

    Tools | Help | SDC Verifier

    Options:

  • Select Load Group with the time history using Load Selector Control;
  • Category - category of result for which the Rainflow method will be applied;
  • Settings:

  • Load History - set the load-time history for the calculations;
  • Note: Load History will be automatically applied for a selected Load Group.

    Hysteresis Gate Percent - ignore stress ranges that are less or equal than the percentage from maximum stress range;

    Actual Hysteresis Gate - ignore stress ranges that are less or equal than the actual stress range value. Should be set in stress units;

    Number of Bins - each bin is a fixed stress range. Number of bins split maximum stress range of a load-time history into a set of smaller stress ranges. The measured data points are mapped to the centers of their bin, which enables counting procedures;

    Note: more number of bins is set - more accurate algorithm is, but calculation time is increased;

    Half Cycle Calculation - filtering of initial stresses are performed only from Left to Right (Valley-to-Peak), Right to Left (Peak-to-Valley) or for Both;

    LG Parameter - used in case if Load Group contains in a history another Load Group. Minimum, Maximum or Absolute Maximum result can be used in calculations;

    Selection - select part of the model to be calculated by the tool using Selector Control;

    Rainflow Counting consist of 4 main steps:

    1. Peak-Valley Filtering.

    Peak-Valley filtering removes all the intermediate load-time history results that are between all Peak and Valley pairs in order to get only minimum and maximum values of a cycle that are important for fatigue calculations:

    Tools | Help | SDC Verifier

    Initial (gray line) is the original load-time history of all the loads included in Load Group. Peak-Valley Filtering (dark gray line) is a filtered load-time history with excluded intermediate data points. Peak-Valley load-time history is used in further calculations.

    2. Hysteresis Filtering.

    Hysteresis filtering removes small stress ranges obtained after Peak-Valley filtering that have a negligible influence on a damage:

    Tools | Help | SDC Verifier

    Peak-Valley (dark gray line) data is obtained from Step 1. Hysteresis Filtering (black line) is a filtered load-time history that excludes stress ranges that are smaller than the gate (percentage or actual value defined in the settings). Hysteresis load-time history is used in further calculations.

    3. Binning

    Binning splits the min/max stress range to the number of bins defined in the settings. Each bin represents a fixed stress range. Hysteresis load-time history data points are moved to the centers of the respective bins, which enables counting procedures.

    Tools | Help | SDC Verifier

    Hysteresis Filtering (black line) data is obtained from the Step 2. Binned (blue line) is a modified data after placing data to the centers of respective bins. Binned load-time history is used in further calculations.

    4.a. Half Cycle Method

    Half Cycle Method also known as Pagoda roof method counts half the cycle for each stress between its start and termination. Counting can be done for both Valley-to-Peak (Left-to-Right) and Peak-to-Valley (Right-to-Left) or for any of them that depends on the selected Half Cycle Calculation option.

    Green (Peak-to-Valley) and red (Valley-to-Peak) lines on the picture below represents the counting path:

    Tools | Help | SDC Verifier

    All the obtained stress ranges are gathered into the table and each occurred range is set 0.5 cycle. Afterwards all similar cycles are summarized that results in the Half Cycle Data table:

    Tools | Help | SDC Verifier

    4.b. Four Point Method

    This method evaluates each set of 4 data points A-B-C-D of the binned data in turn to determine residual stresses and a rainflow matrix with number of cycles. Algorithm compares the stress ranges of points A-D and B-C and sets 1 cycle for the range of results using a stress value at point B (from) and point C (to) only if A-D >= B-C.

    Tools | Help | SDC Verifier

    Numbered data points and each set of 4 points is checked. Points that are currently checked are highlighted in cream color. Points that are eliminated are crossed out and they provide a counted cycle. Rest of the points that do not provide a cycle represent a Residual Stress. A cycle is counted if inner stress range (B-C) <= to outer stress range (A-D) and the points comprising the inner stress range are bounded by the outer

    Tools | Help | SDC Verifier

    The Four Point Data includes eliminated and residue stress points that form ranges:

    Tools | Help | SDC Verifier

    Residual stress and matrix of calculated cycles are displayed on the graphs:

    Tools | Help | SDC Verifier

    Note: cycles with equal from - to ranges are summarized.

    Press OK to finish edit rainflow counting tool. Confirmation message of clearing results for checks that use rainflow counting will appear:

    Tools | Help | SDC Verifier

    Interpolation Tool

    Interpolation Tool allows to display stress variation along the selected line between two mesh nodes.

    To open Interpolation Tool execute Tools - Main - Interpolation from the ribbon.

    Interpolation Tool | SDC Verifier

    Interpolation can be performed over selected Individual Load or Load Set.

    Nodes - select nodes to define interpolation line;

    Vector Points Count - set number of points between the selected nodes where stresses will be interpolated to display more detailed graph.

    Coordinate Systems - transform stresses to the Global Csys or Node Based Csys before interpolating results. Node Based Csys is calculated by the following rules:

    • X Direction - vector between selected nodes;
    • Y Direction - rejection vector of X Direction and Global X Direction. If X Direction and Global X Direction are collinear, Global Y Direction is used;
    • Z Direction - cross product vector of X Direction and Y Direction;

    Results Options - use averaged stresses from neighbor elements at respective point of interest or corner stresses of the element to get the result at the interpolation point;

    Note:Averaging is performed for currently calculated element using results from the connected elements at the element corner nodes. If type of current element is shell and line or solid element is connected - half of result of line or solid element will be added to the top and half to the bottom result of the shell element at the corner node.

    Directions - list of directions that will be displayed on the graph;

    Note: For line elements point result will be displayed only if interpolation point is located on the line between start and end node of the line element. Result is a Linear Interpolation between absolute maximum results at both ends of the line element.

    Interpolation Tool Linear | SDC Verifier

    Note: Shell elements are treated as 3D element using the element thickness. Result is a Trilinear Interpolation between the top/bottom corner results of the element.

    Interpolation Tool Trilinear | SDC Verifier

    Compression Only Support

    Compression Only Support tool - simulation of compression only support by creating dependency loads and modifying Load Sets to reach 0 reaction at the support nodes.

    To open Compression Only Support tool execute Tools - Main - Compression Only Support from the ribbon.

    Compression Only Support | SDC Verifier

    Warning:

    After pressing OK button - dependency loads will be created in the model and analysis of selected Job will be performed.

    Job - selected job from which Load Sets can be selected;

    Load Sets - selected Load Sets for which calculations will be performed;

    Modify Existing Load Sets - add dependency loads with calculated factors to existing Load Sets;

    Copy Existing Load Sets - copy existing load sets in the selected Job and add dependency load to them;

    Press Export to export all items in the list to the file. Press Import to import items from the file.

    Tools | Help | SDC Verifier - add new compression only item;

    Tools | Help | SDC Verifier - edit compression only item;

    Tools | Help | SDC Verifier - copy selected compression only items;

    Tools | Help | SDC Verifier - remove selected compression only items;

    Tools | Help | SDC Verifier - draw compression only directions and put labels with ids of nodes of all compression support items in the list;

    Compression Only Support Plot | SDC Verifier

    Add/Edit Compression Only Item

    Compression Only Support Item | SDC Verifier

    Node Id - fill the Id of the constraint node or pick the node from the model;

    Csys - coordinate system;

    Direction - compression direction. It is possible to select predefined global X, Y or Z directions, fill Custom direction or pick the direction in the model.

    Tapered Beam Tool

    Tapered Beam Tool allows to refine mesh of tapered beams and create new properties in model.

    To open Tapered Beam Tool execute Tools - Main - Tapered Beam Tool from the ribbon.

    Tapered Beam Tool | SDC Verifier

    Select elements to be split using Selector Control.

    Divisions - set number of new elements to be created instead of each selected element;

    Length - set length of new elements to be created instead of each selected element. If the length is not a multiple of the element length - last element in the division will have smaller length than defined;

    Split to Tapered Beams - create tapered (different End A and End B shapes) or standard (End A shape) shape in new properties;

    Compute Shear Center Offset - set option to compute shear center in shape for all new properties;

    Compute warping Constant - set option to compute warping constant in shape for all new properties;

    Tapered Beam Tool Result | SDC Verifier

    After the mesh is refined - update model question will appear to re-read new properties and elements:

    Tapered Beam Tool Update Model | SDC Verifier

    Spider Nodes

    Spider Nodes tool generates a Rigid (RBE2) element by creating the independent node at the centroid of nodes on user-selected curves. The dependent nodes for the Rigid element are the nodes on the selected curves.

    Divide Beams

    Divide Beams tool splits a single selected beam element into the number of elements entered. The start and end nodes of the original element are retained in their positions.

    RBE tools

    Convert RBE2s to RBE3s - modifies selected RBE2 elements to RBE3 elements. This script does not remove any rotational DOFs from the independent nodes on the converted RBE3 elements that previously existed when they were dependent nodes on RBE2 elements.

    Set Separate Colors for RBE2s and RBE3s - sets one color for all RBE2 and a single different color for all RBE3 elements in the model.

    Convert Rigids to Active Beam

    Convert Rigids to Active Beam tool converts selected rigid elements to the active beam property ID. If the active property is not a beam, window to select the beam property appears. If there are not any beam property error message appears.

    Node Move By Deform

    Node Move By Deform tool moves nodes by the value of the X, Y, and Z deformation values of the active Output Set.