HELP TOPICS
DOWNLOAD

DNV RP-C201 Plate/Stiffener/Girder Buckling (2023)

DNV RP-C201 Plate/Stiffener/Girder Buckling (2023) verifies structural stability for each structural member (plate, stiffener and girder). Standard implemented according to DNV Recommended Practice - Buckling strength of plated structures, September 2023.

DNV RP-C201 (2023)

To add the standard execute Standards - Main - DNV - DNV RP-C201 Plate/Stiffener/Girder Buckling (2023) from the ribbon:

DNV 10_add

Press DNV RP-C201 Plate/Stiffener/Girder Buckling (2023) | Help | SDC for Simcenter 3D to Set Standard Custom Settings

Resulting Material Factor (Gm) - critical buckling stresses are divided on Resulting Material Factor.

Standard uses material data (Yield/Tensile) in calculations. Wizard checks if the values are defined for all materials.

Plate and Stiffener/Girder Buckling Checks are calculated on Sections. With the help of Panel Finder tool, it is possible to automatically recognize Section and Plates with their dimensions.

By default, All Sections are included in the selection but can be changed by pressing DNV RP-C201 Plate/Stiffener/Girder Buckling (2023) | Help | SDC for Simcenter 3D . If sections were not recognized press DNV RP-C201 Plate/Stiffener/Girder Buckling (2023) | Help | SDC for Simcenter 3D to run Panel Finder tool.

Note: This standard is designed for rectangular panels only. Models containing non-rectangular panels will trigger a warning.

Also this standard is designed for flat plates only. Models containing curved plates will trigger a warning. Curved plate results will display 12345678, indicating that these elements were not evaluated.

DNV RP-C201 Plate/Stiffener/Girder Buckling (2023) | Help | SDC for Simcenter 3D

Plate Buckling options

Thickness Factor - increases each plate thickness (e.g. 1.1 increase on 10%) and decreases stresses;

Calculations are performed for each element with converted stresses (into plate direction) or Plate Average Stresses and using Plate dimensions.

DNV RP-C201 Plate/Stiffener/Girder Buckling (2023) | Help | SDC for Simcenter 3D

Stress on Element - what stress to check.

Average - average stress among element point of interests.

Min Midplane - minimum midplane stress (Stop + Sbottom / 2), without bending.

Use Absolute Shear for Plate Average - used only together with plate average option and means that absolute shear is used for plate averaging:

DNV RP-C201 Plate/Stiffener/Girder Buckling (2023) | Help | SDC for Simcenter 3D

With Absolute Shear option, higher shear stress is used for checking, that makes verification more conservative.

Include Plate Dimensions in the table - set parameters Length, Width and Thickness to be included in the table.

Design Lateral Pressure - set Design Lateral Pressure of plates.

Laterally Loaded Plates Element - Include or Exclude elements from calculations of Laterally Loaded Plates, Section 3 Figure 3-1.

Stiffener/Girder Buckling options

Girder Method - select method of calculating effective width of the plate of the girder. Method 1 (Sec. 7.10.2) calculating the girder invloves assuming that the stiffened plate is effective against transverse compression stresses - using Eq. 7.56; Method 2 (Sec. 7.10.3) calculating the girder invloves assuming that the stiffened plate is not effective against transverse compression stresses - using Eq 7.59

DNV RP-C201 Plate/Stiffener/Girder Buckling (2023) | Help | SDC for Simcenter 3D

Tension Field - shear capacity model. The tension field can be internally anchored (spans between ends of stiffeners) causing added axial force in stiffeners or externally anchored implying redistribution of forces from the plate field to external supports Section 6/6.2.2. Used in calulations of tau_tf, Section 6/(6.3) and u, Section 6/(6.70)

DNV RP-C201 Plate/Stiffener/Girder Buckling (2023) | Help | SDC for Simcenter 3D

Z* - is the distance from the neutral axis of the effective section to the working point of the axial force. By default, the simplification is used and z* = 0. It is possible to set z* for different sections. Set z* to 12345678 to use z* equal to zp.

DNV RP-C201 Plate/Stiffener/Girder Buckling (2023) | Help | SDC for Simcenter 3D

Moment Reduction Factor - moment reduction factor, Section 7/7.7.3. Can be taken as 1.0 or from EN-1993-1-1, table B.3.

Manufacture Type - rolled or welded type of manufacture of sections.

Plate Buckling Calculation

For the individual loads and loads sets, plate buckling is calculated basing on the formulas using stresses from the load. For Load Group the plate buckling is calculated as an envelope. Load Group items are calculated using formulas and then min/max/abs (among the items buckling results) is found. Load Group contains the worst values for each parameter and gives a possibility to check the highest Ultimate Strength and Buckling State Limits for all items at once.

Ultimate Strength Limit and Buckling State Limit depend on the plate results (stresses) and plate dimensions (length, width and thickness).

Plate buckling check includes various options for stresses to be checked:

  • Element Stress: MidPlane (no bending) or Average;

DNV RP-C201 Plate/Stiffener/Girder Buckling (2023) | Help | SDC for Simcenter 3D

  • Use Plate Average Stress - the stress is averaged on the plate using elements area. The calculation is performed on every element but with averaged plate stresses.

DNV RP-C201 Plate/Stiffener/Girder Buckling (2023) | Help | SDC for Simcenter 3D

  • Use Absolute Shear for plate average (Conservative);

DNV RP-C201 Plate/Stiffener/Girder Buckling (2023) | Help | SDC for Simcenter 3D

Note: For x and y directions only compression (negative) stresses are used in calculations. Positive stress is ignored and set to 0. For shear (xy) direction positive and negative stresses are used.

Stress Conversion

Plate Buckling check requires to verify element stresses (Sx, Sy and Txy) to be translated into the plate X, Y, XY directions.

Conversion of the stresses is done automatically in Plate Buckling check. For the element average option - the nodal element stresses at top and bottom are averaged (which is equivalent to using midplane centroid stress) and translated into plate directions. For Min Midplane option - the midplane stresses are translated into the plate directions and then the minimum values are taken.

SDC Verifier makes an assumption that the plate elements are calculated without any output transformation and the default values are used:

  • For triangle elements x stress is oriented along the first ege (node1 -> node2 define 1 edge).
  • For quad elements x stress is oriented along the Diagonal Bisector:

DNV RP-C201 Plate/Stiffener/Girder Buckling (2023) | Help | SDC for Simcenter 3D

Plate Dimensions and Thickness

Results depend on the plate dimensions and direction. It is important to understand how the Panel Finder performs recognition. Length is considered to be the longest edge of the plate and width the longest perpendicular to the longest edge:

DNV RP-C201 Plate/Stiffener/Girder Buckling (2023) | Help | SDC for Simcenter 3D

Plate dimentions can be calculated using CSR method - calculate equivalent rectangular plate dimensions described in Common Structural Rules (1 Jan 2018) Part 1, Chapter 8, Section 4 (2.3)

Calculations are performed on every element and thickness is taken directly from each element. It is possible to set thickness manually, in this case, element thickness will be ignored and user-defined thickness will be used.

Example: A Plate with 2 properties 0.01 and 0.02 thicknesses. The left picture displays the property labels with property thicknesses and the right one presents plate buckling plot of thickness parameter:

DNV RP-C201 Plate/Stiffener/Girder Buckling (2023) | Help | SDC for Simcenter 3D

Formulas

The design buckling resistance of an unstiffened plate under longitudinal compression force may be calculated as:

DNV RP-C201 Plate/Stiffener/Girder Buckling (2023) | Help | SDC for Simcenter 3D

where:

DNV RP-C201 Plate/Stiffener/Girder Buckling (2023) | Help | SDC for Simcenter 3D

in which

s = plate width

t = plate thickness

fcr = critical plate buckling strength

The resistance of the plate is satisfactory when:

DNV RP-C201 Plate/Stiffener/Girder Buckling (2023) | Help | SDC for Simcenter 3D

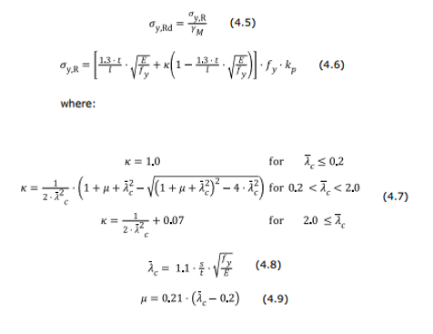
The design buckling resistance of a plate under transverse compression force may be found from the following formulas:

DNV RP-C201 Plate/Stiffener/Girder Buckling (2023) | Help | SDC for Simcenter 3D

The reduction factor due to lateral load kp may, in lieu of more accurate results, be calculated as:

DNV RP-C201 Plate/Stiffener/Girder Buckling (2023) | Help | SDC for Simcenter 3D

The resistance of the plate is satisfactory when:

DNV RP-C201 Plate/Stiffener/Girder Buckling (2023) | Help | SDC for Simcenter 3D

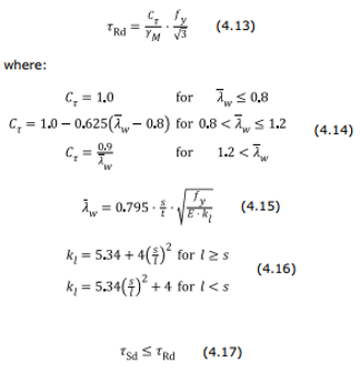
Shear buckling of a plate can be checked by

DNV RP-C201 Plate/Stiffener/Girder Buckling (2023) | Help | SDC for Simcenter 3D

A plate subjected to biaxial loading with shear should fulfill the following requirement:

DNV RP-C201 Plate/Stiffener/Girder Buckling (2023) | Help | SDC for Simcenter 3D

Plates subject to lateral pressure only, or a combination of lateral and in-plane stresses are checked using following equation:

DNV RP-C201 Plate/Stiffener/Girder Buckling (2023) | Help | SDC for Simcenter 3D

Stiffener Buckling Calculation

Stiffened plates subjected to combined forces should be designed to resist an equivalent axial force Nsd (6.2) and an equivalent lateral load Qsd (6.11).

Three types of stiffeners are supported: L, T and Flat bars.

DNV RP-C201 Plate/Stiffener/Girder Buckling (2023) | Help | SDC for Simcenter 3D

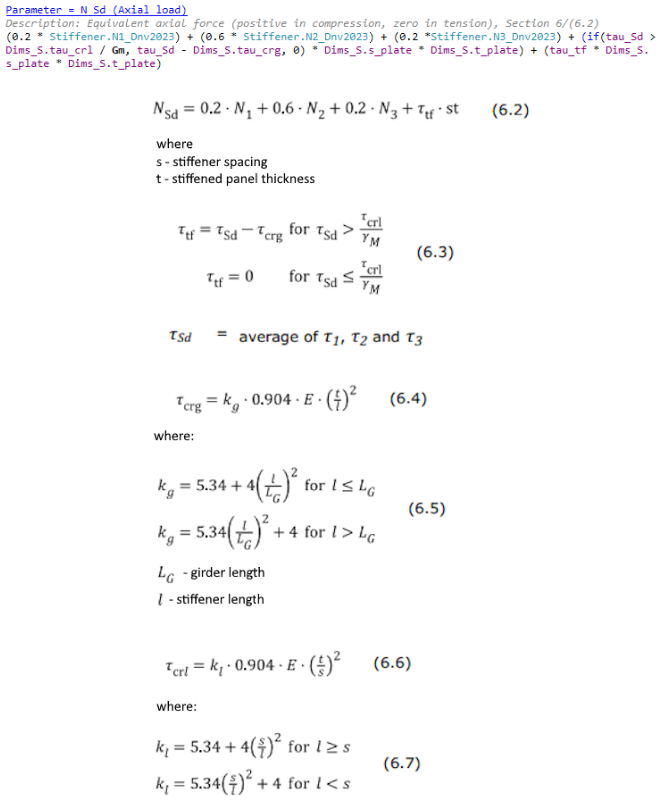
Equivalent Axial Force

Equivalent Force is calculated based on axial forces calculated at three integration lines (see Chapter 5.3.1) by the Effective Plate Width Tool and tension field action:

DNV_formula

Dimensions. Stiffener Length, Girder Length, Torsional Length are recognized by Panel Finder. For the plate thickness - the minimum thickness is taken from all connected plates to the stiffener. The distance between stiffeners - average plate width perpendicular to the stiffener calculated in Panel Finder.

Equivalent Lateral Line

Sum of design lateral pressure and equivalent lateral pressure multiplied on stiffener spacing (averaged plate width):

DNV_formula

Note: If not all the elements local axes are oriented perpendicularly to the plate (Y or Z) the value 12345678 is used.

Equivalent lateral pressure is calculated using formula 6.12 with ψ = 1. It is possible to modify it using characteristic.

Effective plate width and η

Effective plate width is calculated according to Chapter 6.18 by a separate tool (Effective Plate Width under tools).

DNV_formula

Effective Plate Width tool also calculates η factor (6.40) which is used to calculate Beta coefficient in Chapter 7.5.2 Torsional Buckling of stiffeners:

DNV_formula

Shear force should satisfy the following condition:

Shear Forces DNV RP-C201 2023

Shear force perpendicular to the plate is checked for each stiffener element. If not all the elements local axes are oriented perpendicularly to the plate (Y or Z) the value 12345678 is used.

Bending Moments are calculated based on Equivalent Lateral Line. They are used in Chapter 6.10 Buckling check of an equivalent beam-column:

Bending Moments Stiffeners DNV RP-C201 2023

Resistance of stiffened panel to shear stresses is calculated according to Chapter 6.9.3:

Shear Resistances DNV RP-C201 2023

Plate average shear stresses are compared to τRd = Min(τRdy, τRdl, τRds):

DNV_formula

The following formulas of Buckling check of an equivalent beam-column according to Chapter 6.10 are calculated.

For sniped stiffeners the maximum value of equations 6.63-6.69 is checked:

DNV_formula

For continuous stiffeners the maximum value of equations 6.71-6.80 is checked:

DNV_formula

Girder Buckling Calculation

Beam-column checks for girders are similar to those applicable for stiffeners. Separate checks are given for simply supported and continuous girders in Chapters 7.7.2 and 7.7.3 respectively.

A panel of girders subjected to combined forces should be designed to resist an equivalent axial force Nsd (7.8.2) and an equivalent lateral load Qsd (7.8.3).

Equivalent Axial Force

Equivalent Force is calculated based on axial forces calculated at three integration lines (see Chapter 5.3.1) by the Effective Plate Width Tool:

DNV RP-C201 Plate/Stiffener/Girder Buckling (2023) | Help | SDC for Simcenter 3D

Equivalent Lateral Line

Sum of design lateral pressure and equivalent lateral pressure multiplied on stiffener length (average length of stiffeners connected to girder):

DNV RP-C201 Plate/Stiffener/Girder Buckling (2023) | Help | SDC for Simcenter 3D

Effective plate width

Effective Plate Width is calculated by a separate tool (Effective Plate Width under tools) by 2 methods from Chapters 7.10.2 and 7.10.3 respectively using next equation:

DNV RP-C201 Plate/Stiffener/Girder Buckling (2023) | Help | SDC for Simcenter 3D

Bending Moments are calculated based on Equivalent Lateral Line. They are used in Chapter 7.7 Girder beam-column buckling checks:

Bending Moments GirdersDNV RP-C201 2023

For sniped girders the maximum value of equations 7.9-7.16 is checked:

DNV_formula

For continuous girders the maximum value of equations 7.19-7.28 is checked:

DNV_formula

Local Buckling of Stiffeners and Girders

Flange outstands for T or L stiffeners or girders should satisfy:

DNV RP-C201 Plate/Stiffener/Girder Buckling (2023) | Help | SDC for Simcenter 3D

Webs of stiffeners and girders subjected to pure axial load should satisfy:

DNV RP-C201 Plate/Stiffener/Girder Buckling (2023) | Help | SDC for Simcenter 3D