HELP TOPICS
DOWNLOAD

Eurocode3 Members (EN1993-1-1, 2005)

Eurocode 3 - member checks according to Eurocode3: Design of steel structures - Part 1-1: General rules and rules for buildings (May 2005). Chapter 6 "Ultimate limit states" is implemented.

Note: Checks are performed for I-beams, Channels, Symmentric Angular shapes, Tee, Circular and Rectangular tubes, Circular and Rectangular bars

To add the standard execute Standards - Main - Eurocode3 - Eurocode3 Members (EN-1993-1-1, 2005) from the ribbon:

Eurocode3_members_window

To see what elements are not verified for all checks or bending checks according to Eurocode 3 Member Checks press Preview Not Supported Elements.

Press Eurocode3 Members (EN1993-1-1, 2005 | Help | SDC Verifier to Set Standard Custom Settings

Resistance Partial Factors:

Gm0 - resistance of cross-sections whatever the class is;

Gm1 - resistance of members to instability assessed by member checks;

Gm2 - resistance of cross-sections in tension to fracture.

Partial Factors can be defined by National Annex. The following values are recommended.

γm0= 1,00

γm1= 1,00

γm2= 1,25

The parameters for λLT,0 and β are given in the National Annex. The following values are recommended for rolled sections or equivalent welded sections:

The plateau length of the lateral torsional buckling curves for rolled sections:

λLT,0 = 0,4 (maximum value)

The correction factor for the lateral torsional buckling curves for rolled sections:

β = 0,75 (minimum value)

Eta (η) is used in the shear area calculations (may be taken from the National Annex). The default value is 1.2.

A correction Factor Kc can be calculated using the Cm Tool for each member. Also it is possible to set the Kc equal to 1:

Eurocode3 Members (EN1993-1-1, 2005 | Help | SDC Verifier

Table 6.6: The Correction Factor:

Eurocode3 Members (EN1993-1-1, 2005 | Help | SDC Verifier

The following cases are NOT recognized and are skipped:

Eurocode3 Members (EN1993-1-1, 2005 | Help | SDC Verifier

For the properties the following characteristics should be defined:

  • Fabrication Type - Rolled or Welded;
  • Manufacture Type - Hot Finished or Cold Formed;
  • Fillets have to be defined in the characteristic (if they are missed in the model);
  • Section Net Area - for fasteners with holes net area has to be defined;
  • Material Type - the buckling curve (Table 6.2) depends on the material type. Material s460 has different classification than the other types.

Note: If there are L-shaped members used, the Bending check will not be performed for them. AISC 360-22 Members (2022) can be used to check bending for L-shaped members. The following message wil appear after pressing OK:

Eurocode3 Members (EN1993-1-1, 2005 | Help | SDC Verifier

Note: For rolled section fillets are taken into account in the classification and shear calculations from the characteristic. For more accurate results, modify the shape area and the moment of inertia in the model to take into account fillets.

Standard uses material data (Yield/Tensile) in calculations. Wizard checks if the values are defined for all materials.

Calculate asymmetric shapes as symmetric - minimum sizes of walls/flanges will be used to calculate cross-section properties (area, moments of inertia etc.). Option works within the current standard.

Note: Execute Model - Properties - Map Shapes as Symmetric from the tree to transform asymmetric I-beams, Channels or Rectangular tubes to symmetric for the full project.

Calculate Class 4 of cross section as Class 3 - recalculate maximum possible yield stress so that cross section will pass the limits of Class 3 and use new yield stress in further calculations. Option works within the current standard.

Member Length for Torsional and Torsional-Flexural Buckling Check (LT) by default is max among Ly and Lz lengths. For lateral torsional buckling (L LT) is length in strong axis:

Eurocode3 Members (EN1993-1-1, 2005 | Help | SDC Verifier

Data from Beam Member Finder is used automatically. If beam members are not recognized press Eurocode3 Members (EN1993-1-1, 2005 | Help | SDC Verifier.

Note: Effective Length Factor for both options is taken from Length Torsional - Length Factor.

It is possible to choose the calculation method for Lateral Torsional Buckling: General Case (chapter 6.3.2.2), For rolled sections or equivalent welded sections (chapter 6.3.2.3) or the worst of two (min reduction factor is used from 2 methods):

Eurocode3 Members (EN1993-1-1, 2005 | Help | SDC Verifier

Formulas

Eurocode3 Member Checks support verification of the sections that belongs to Class 1-3, Class4 is out of the scope.

Cross Section Class:

The role of cross section classification is to identify the extent to which the resistance and rotation capacity of cross sections is limited by its local buckling resistance.

Web Classification:

Eurocode3 Members (EN1993-1-1, 2005 | Help | SDC Verifier

A Compression portion of the web in the case of a plastic stress distribution:

Eurocode3 Members (EN1993-1-1, 2005 | Help | SDC Verifier

The ratio of end stresses in the case of an elastic stress distribution:

Eurocode3 Members (EN1993-1-1, 2005 | Help | SDC Verifier

Both parameters are calculated according to the Appendix: Chapter 5.5 (Steel Designers' Manual, 7th edition)

Flange Classification:

Eurocode3 Members (EN1993-1-1, 2005 | Help | SDC Verifier

For the circular tubes:

Eurocode3 Members (EN1993-1-1, 2005 | Help | SDC Verifier

Tension and Compression

The Axial design force should satisfy the following condition (6.5) for tension and (6.9) for compression:

Eurocode3 Members (EN1993-1-1, 2005 | Help | SDC Verifier

The Axial resistance for tension:

Eurocode3 Members (EN1993-1-1, 2005 | Help | SDC Verifier

The Axial resistance for fasteners with holes (min (6.6) and (6.7)):

Eurocode3 Members (EN1993-1-1, 2005 | Help | SDC Verifier

Axial resistance for compression:

Eurocode3 Members (EN1993-1-1, 2005 | Help | SDC Verifier

Bending Moment

Design bending moment should satisfy the following condition:

Eurocode3 Members (EN1993-1-1, 2005 | Help | SDC Verifier

The Bending moment resistance for class 1 and 2:

Eurocode3 Members (EN1993-1-1, 2005 | Help | SDC Verifier

For the class 3:

Eurocode3 Members (EN1993-1-1, 2005 | Help | SDC Verifier

Warning:

For class 1 and 2 bending moment resistance is calculated using the Plastic Section Modulus, it is calculated in SDC Verifier without taking into account fillets. The bending resistance in result is a bit lower (conservative) for the sections with class 1 and 2. For class 3 resistance is calculated based on the elastic section modulus. Modify the shape moment of inertia to take into account fillets in order to achieve more accurate results.

Warning:

Shear

Shear force should satisfy following condition:

Eurocode3 Members (EN1993-1-1, 2005 | Help | SDC Verifier

Shear resistance:

Eurocode3 Members (EN1993-1-1, 2005 | Help | SDC Verifier

Av - shear area.

Rolled I-Beam:

Web Area: A-2btf + (tw + 2r)tf but not less than ηhwtw

Flange Area: Σ(hwtw)

Welded I-Beam:

Web Area: ηΣ(hwtw)

Flange Area: A-Σ(hwtw)

Rolled Channel:

Web Area: A - 2btf + (tw + r)tf

Flange Area: Σ(hwtw)

Welded Channel:

Web Area: Σ(hwtw)

Flange Area: A-Σ(hwtw)

Rolled Rectangular Hollow Sections:Ah/(b+h)

Welded Rectangular Hollow Sections:

Web Area: ηΣ(hwtw)

Flange Area: A - Σ(hwtw)

Circular Hollow Sections: 2A/π

Circular Bar Sections: 9/10A

Rectangular Bar Sections: 5/6A

Rolled Tee:

Web Area: A - btf + (tw + 2r)tf / 2

Flange Area: 0.83btf

Welded Tee:

Web Area: tw(h - tf / 2)

Flange Area: 0.83btf

Where the shear force is more than half the plastic shear resistance its effect should be taken into account by using Reduced Yield Stress:

Fy = (1-ρ)fy

Eurocode3 Members (EN1993-1-1, 2005 | Help | SDC Verifier

Note: The reduced value of Fy (Yield Stress) will be used throughout all cross-section checks (clause 6.2).

Bending and Axial Checks

For the class 1 and 2 the following condition should be satisfied:

Eurocode3 Members (EN1993-1-1, 2005 | Help | SDC Verifier

For the class 3 and the channel (all classes):

Eurocode3 Members (EN1993-1-1, 2005 | Help | SDC Verifier

I Section: α = 2; β = 5n but β≥1

Circular tubes: α = 2; β = 2

Rectangular tubes: Eurocode3 Members (EN1993-1-1, 2005 | Help | SDC Verifier

n - axial utilization factor (6.5 or 6.9).

Mn,y,Rd and Mn,z,Rd - the design plastic moment resistance reduced to the axial force Ned.

I-Beams:

Eurocode3 Members (EN1993-1-1, 2005 | Help | SDC Verifier

Rectangular Tubes:

Eurocode3 Members (EN1993-1-1, 2005 | Help | SDC Verifier

Circular Tubes:

Eurocode3 Members (EN1993-1-1, 2005 | Help | SDC Verifier

Buckling resistance in compression

Compression member should be verified against the buckling as follows:

Eurocode3 Members (EN1993-1-1, 2005 | Help | SDC Verifier

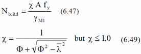
Axial Buckling Resistance:

Eurocode3 Members (EN1993-1-1, 2005 | Help | SDC Verifier

Where

Eurocode3 Members (EN1993-1-1, 2005 | Help | SDC Verifier

Non-dimensional slenderness:

Eurocode3 Members (EN1993-1-1, 2005 | Help | SDC Verifier

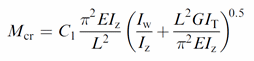
Elastic Critical Force:

Eurocode3 Members (EN1993-1-1, 2005 | Help | SDC Verifier

Table 6.1: Imperfection factors for buckling curves:

Eurocode3 Members (EN1993-1-1, 2005 | Help | SDC Verifier

Table 6.2: Selection of buckling curve for a cross-section

Eurocode3 Members (EN1993-1-1, 2005 | Help | SDC Verifier

Torsional and torsional-flexural buckling

For I-beams and channels torsional or torsional-flexural buckling check should be performed.

Non-dimensional slenderness:

Eurocode3 Members (EN1993-1-1, 2005 | Help | SDC Verifier

Where Ncr = Ncr, TF but Ncr < Ncr, T

Ncr, TF, is the elastic torsional-flexural buckling force;

Ncr, T, is the elastic torsional buckling force.

Buckling Resistance in Bending

A laterally unrestrained member subject to the major axis bending should be verified against the lateral-torsional buckling as follows:

Eurocode3 Members (EN1993-1-1, 2005 | Help | SDC Verifier

Square or circular hollow sections, fabricated circular tubes or square box sections are not susceptible to the lateral-torsional buckling.

Buckling Bending resistance:

Eurocode3 Members (EN1993-1-1, 2005 | Help | SDC Verifier

Wy - an appropriate section modulus:

Eurocode3 Members (EN1993-1-1, 2005 | Help | SDC Verifier

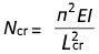
Reduction factor for rolled sections and equivalent welded sections (6.3.2.3):

Eurocode3 Members (EN1993-1-1, 2005 | Help | SDC Verifier

Value to determine reduction factor:

Eurocode3 Members (EN1993-1-1, 2005 | Help | SDC Verifier

The parameters λLT,0 and β may be taken from the National Annex. The following values are recommended for rolled or equivalent welded sections:

λLT,0 = 0,4 (maximum value)

β = 0.75 (minimum value)

To take into account the moment distribution between the lateral restraints of members the reduction factor can be modified as follows:

Eurocode3 Members (EN1993-1-1, 2005 | Help | SDC Verifier

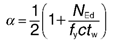
Modification Factor:

f = 1 - 0,5(1-kc)[1-2,0(λLT,0-0,8)2] but f ≤1,0

Kc is the correction factor according to the Table 6.6.

Reduction Factor - general case (6.3.2.2):

Eurocode3 Members (EN1993-1-1, 2005 | Help | SDC Verifier

Value to determine reduction factor:

Eurocode3 Members (EN1993-1-1, 2005 | Help | SDC Verifier

Non-dimensional slenderness for lateral-torsional buckling:

Eurocode3 Members (EN1993-1-1, 2005 | Help | SDC Verifier

Mcr - elastic critical moment for lateral-torsional buckling.

DESIGNERS' GUIDE TO EUROCODE 3: DESIGN OF STEEL BUILDINGS
EN 1993-1-1, -1-3 and -1-8 Second edition
LEROY GARDNER and DAVID A. NETHERCOT

For I-beam and channel Mcr is calculated (according to the Designers' guide to Eurocode3: Design of steel buildings, 2nd edition):

Eurocode3 Members (EN1993-1-1, 2005 | Help | SDC Verifier

For Rectangular tubes:

Eurocode3 Members (EN1993-1-1, 2005 | Help | SDC Verifier

C1 is calculated using the following formula:

Eurocode3 Members (EN1993-1-1, 2005 | Help | SDC Verifier

Note: SDC Verifier calculates Mcr for case when load application is in the shear centre (centroid for double symmetric shapes) Zg = 0:

Eurocode3 Members (EN1993-1-1, 2005 | Help | SDC Verifier

For cases when Zg > 0 the torsional stability is reduced. A plate model is necessary to take into account this effect.

Bending and Axial Compression

The members which are subjected to the combined bending and the axial compression should satisfy the following equations:

Eurocode3 Members (EN1993-1-1, 2005 | Help | SDC Verifier

Interaction factors kyy, kyz, kzy, kzz are calculated based on the Method 2 from the Annex B:

The Table B.1: Interaction factors kij for the members not susceptible to the torsional deformations:

Eurocode3 Members (EN1993-1-1, 2005 | Help | SDC Verifier

The Table B.2: Interaction factors kij for the members susceptible to the torsional deformations:

Eurocode3 Members (EN1993-1-1, 2005 | Help | SDC Verifier