HELP TOPICS
DOWNLOAD

DNV CN30 Plate Buckling (1995)

DNV Plate Buckling (1995) verifies the structural stability for each structural member (plate) according to the Plate Buckling DNV released July, 1995.

DNV CN30 1995

To add DNV Plate Buckling CN30/1995 standard execute Standards - Main - DNV - DNV CN30 Plate Buckling (1995) from the ribbon:

DNV 95_add

Press DNV CN30 Plate Buckling (1995) | Help | SDC Verifier to Set Standard Custom Settings

Stress Safety Factor - critical buckling stresses are divided on safety factor.

Thickness Factor - increases each plate thickness (e.g. 1.1 increase on 10%) and decreases stresses;

Calculations are performed for each element with converted stresses (into plate direction) or Plate Average Stresses and using Plate dimensions.

DNV CN30 Plate Buckling (1995) | Help | SDC Verifier

Stress on Element - what stress to check.

Average - average stress among element point of interests.

Min Midplane - minimum midplane stress (Stop + Sbottom / 2), without bending.

Use Absolute Shear for Plate Average - used only together with plate average option and means that absolute shear is used for plate averaging:

DNV CN30 Plate Buckling (1995) | Help | SDC Verifier

With Absolute Shear option, higher shear stress is used for checking, that makes verification more conservative.

Standard uses material data (Yield/Tensile) in calculations. Wizard checks if the values are defined for all materials.

Calculations is performed for each element with converted stresses into plate direction and using Plate dimensions.

Plate Buckling Check is calculated on Sections. With the help of Panel Finder it is possible to automatically recognize Section and Plates with their dimensions.

By default, all sections are included in the selection but can be changed by pressing DNV CN30 Plate Buckling (1995) | Help | SDC Verifier. If sections were not recognized, press Button_panel_finder to run Panel Finder tool.

Check is passed if Ultimate Strength Limit ≤1 and Buckling State Limit ≤1.

Plate Buckling Results

Calculation approach

For individual loads and loads sets, plate buckling is calculated basing on the formulas using stresses from the load. For Load Group, plate buckling is calculated as an envelope. Load Group items are calculated using formulas and then min/max/abs is found. Load Group contains the worst values for each parameter and gives a possibility to check the highest Ultimate Strength and Buckling State Limits for all items at once.

Ultimate Strength Limit and Buckling State Limit depend on the plate results (stresses) and the plate dimensions (length, width and thickness).

Plate buckling check includes various options for stresses to be checked:

  • Element Stress: MidPlane (no bending) or Average;

DNV CN30 Plate Buckling (1995) | Help | SDC Verifier

  • Use Plate Average Stress - stress is averaged on the plate using the elements area. Calculation is performed on every element but with averaged plate stresses.

DNV CN30 Plate Buckling (1995) | Help | SDC Verifier

  • Use Absolute Shear for plate average (Conservative);

DNV CN30 Plate Buckling (1995) | Help | SDC Verifier

Note:for x and y direction only compression (negative) stresses is used in the calculations. Positive stress is ignored and set 0. For shear (xy) direction positive and negative stresses are used.

Stress Conversion

Plate Buckling check requires to verify element stresses (Sx, Sy and Txy) to be translated into the plate X, Y, XY directions.

Conversion of the stresses is done automatically in Plate Buckling check. For the element average option - the nodal element stresses at top and bottom are averaged (which is equivalent to using midplane centroid stress) and translated into plate directions. For Min Midplane option - the midplane stresses are translated into the plate directions and then the minimum values are taken.

SDC Verifier makes an assumption that the plate elements are calculated without any output transformation and the default values are used:

  • For triangle elements x stress is oriented along the first ege (node1 -> node2 define 1 edge).
  • For quad elements x stress is oriented along the Diagonal Bisector:

DNV CN30 Plate Buckling (1995) | Help | SDC Verifier

Plate Dimensions and Thickness

Results depend on the plate dimensions and direction. It is important to understand how Panel Finder performs the recognition. Length is considered to be the longest edge of the plate and width is the longest perpendicular to the longest edge:

DNV CN30 Plate Buckling (1995) | Help | SDC Verifier

Plate dimentions can be calculated using CSR method - calculate equivalent rectangular plate dimensions described in Common Structural Rules (1 Jan 2018) Part 1, Chapter 8, Section 4 (2.3)

Calculations are performed on every element and thickness is taken directly from each element. It is possible to set the thickness manually, in this case, the element thickness will be ignored and user-defined thickness will be used.

Example: Plate with 2 properties 0.01 and 0.02 thicknesses. The left picture displays property labels with property thicknesses and the right presents plate buckling plot of thickness parameter:

DNV CN30 Plate Buckling (1995) | Help | SDC Verifier

Formulas

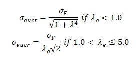
The characteristic buckling resistance for serviceability check may be taken as:

  • For state of stress which can be defined by one single reference stress:

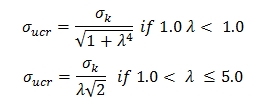
DNV CN30 Plate Buckling (1995) | Help | SDC Verifier

DNV CN30 Plate Buckling (1995) | Help | SDC Verifier = reduced slenderness.

DNV CN30 Plate Buckling (1995) | Help | SDC Verifier = characteristic material resistance.

DNV CN30 Plate Buckling (1995) | Help | SDC Verifier = reduced slenderness.

DNV CN30 Plate Buckling (1995) | Help | SDC Verifier = for shear stress.

DNV CN30 Plate Buckling (1995) | Help | SDC Verifier = elastic buckling resistance.

DNV CN30 Plate Buckling (1995) | Help | SDC Verifier = yield stress.

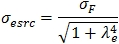
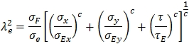
  • For states of stress which cannot be defined by one single reference stress, the characteristics buckling resistance is defined as the critical value of the equivalent stress according to Von Mises, which may be taken as:

DNV CN30 Plate Buckling (1995) | Help | SDC Verifier

DNV CN30 Plate Buckling (1995) | Help | SDC Verifier

DNV CN30 Plate Buckling (1995) | Help | SDC Verifier = equivalent reduced slenderness.

DNV CN30 Plate Buckling (1995) | Help | SDC Verifier = equivalent stress according to Von Mises.

DNV CN30 Plate Buckling (1995) | Help | SDC Verifier = elastic buckling resistance.

DNV CN30 Plate Buckling (1995) | Help | SDC Verifier = normal compressive stress (DNV CN30 Plate Buckling (1995) | Help | SDC Verifier in the table "The buckling coefficient C" below); normal tensile stress may be set equal to zero.

DNV CN30 Plate Buckling (1995) | Help | SDC Verifier = shear stress.

DNV CN30 Plate Buckling (1995) | Help | SDC Verifier

The buckling coefficient C
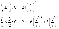
Non-uniform compression DNV CN30 Plate Buckling (1995) | Help | SDC Verifier DNV CN30 Plate Buckling (1995) | Help | SDC Verifier DNV CN30 Plate Buckling (1995) | Help | SDC Verifier
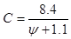
Pure bending DNV CN30 Plate Buckling (1995) | Help | SDC Verifier DNV CN30 Plate Buckling (1995) | Help | SDC Verifier C=24
DNV CN30 Plate Buckling (1995) | Help | SDC Verifier DNV CN30 Plate Buckling (1995) | Help | SDC Verifier DNV CN30 Plate Buckling (1995) | Help | SDC Verifier
Pure shear DNV CN30 Plate Buckling (1995) | Help | SDC Verifier DNV CN30 Plate Buckling (1995) | Help | SDC Verifier
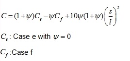
Non-uniform compression DNV CN30 Plate Buckling (1995) | Help | SDC Verifier DNV CN30 Plate Buckling (1995) | Help | SDC Verifier DNV CN30 Plate Buckling (1995) | Help | SDC Verifier
Non-uniform compression DNV CN30 Plate Buckling (1995) | Help | SDC Verifier DNV CN30 Plate Buckling (1995) | Help | SDC Verifier DNV CN30 Plate Buckling (1995) | Help | SDC Verifier
DNV CN30 Plate Buckling (1995) | Help | SDC Verifier DNV CN30 Plate Buckling (1995) | Help | SDC Verifier DNV CN30 Plate Buckling (1995) | Help | SDC Verifier

The usage factor for plate elements checked according to the serviceability criterion may be taken:

  • For states of stress which can be defined by one single reference stress:

    DNV CN30 Plate Buckling (1995) | Help | SDC Verifier

  • For states stress of stress which cannot be defined by one single reference stress:

    DNV CN30 Plate Buckling (1995) | Help | SDC Verifier

The maximum allowable value of the usage factor, DNV CN30 Plate Buckling (1995) | Help | SDC Verifier, is defined in the DNV standard rules.

The plate buckling analysis described above may, in addition to being a serviceability check, be used to obtain sound plate dimensions relative to the stiffener dimensions.

If, however, plate buckling does not represent a serviceability problem (excessive deformation and/or fatigue loading) the ultimate capacity of the plate may be determined like in formulas below.

The characteristic buckling resistance for ultimate check of plate panels between stiffeners may be taken as:

  • For states of stress which can be defined by one single reference stress:

    DNV CN30 Plate Buckling (1995) | Help | SDC Verifier

  • where DNV CN30 Plate Buckling (1995) | Help | SDC Verifierand DNV CN30 Plate Buckling (1995) | Help | SDC Verifier are defined in above

  • For states of stress which cannot be defined by one single reference stress, the characteristic buckling resistance is defined as the critical value of the equivalent stress according to von Mises, which may be taken as:
  • DNV CN30 Plate Buckling (1995) | Help | SDC Verifier

    where DNV CN30 Plate Buckling (1995) | Help | SDC Verifierand DNV CN30 Plate Buckling (1995) | Help | SDC Verifierare defined in above

The usage factor for plate elements between stiffeners, calculated with respect to the ultimate capacity may be determined as:

  • For states of stress which can be defined by one single reference stress:DNV CN30 Plate Buckling (1995) | Help | SDC Verifier
  • For states of stress which cannot be defined by one single reference stress:DNV CN30 Plate Buckling (1995) | Help | SDC Verifier

where DNV CN30 Plate Buckling (1995) | Help | SDC Verifier is the equivalent stress according to von Mises, as defined above.

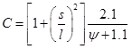
The elastic buckling resistance of plate panels with aspect rationDNV CN30 Plate Buckling (1995) | Help | SDC Verifier not less than one, is given by:

DNV CN30 Plate Buckling (1995) | Help | SDC Verifier

C = buckling coefficient depending on:

  • loading condition,
  • aspect ratio,
  • boundary conditions.

For more detailed information, C may be taken from the table "The buckling coefficient C" above. It is assumed that all edges are simply supported.