HELP TOPICS
DOWNLOAD

ABS OS Plate Buckling 2004

An important aspect in the design of an offshore steel structure is the buckling and ultimate strength behavior of its fundamental structural components. To ensure high technical quality plate buckling check according to ABS 2004 Guide for Buckling and Ultimate Strength assessment for offshore structures, APRIL 2004 (updated February 2012)

Guide for Buckling and Ultimate Strength Assessment for offshore structures

To add ABS OS Plate Buckling 2004 standard execute Standards - Main - ABS - ABS OS Plate Buckling (2004) from the ribbon:

ABS 2004_main_window

Press ABS OS Plate Buckling (2004) | Help | SDC Verifier to Set Standard Custom Settings

Maximum allowable strength utilization factor - critical buckling stress is multiplied on the utilization factor.

Thickness Factor - increases each plate thickness (e.g. 1.1 increase on 10%) and decreases stresses;

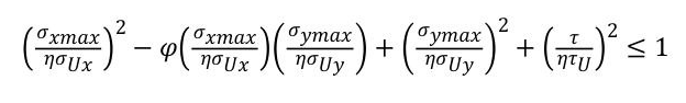
Pr - is a proportional linear elastic limit of the structures, which may be taken as 0.6 for steel;

Calculations are performed for each element with converted stresses (into plate direction) or Plate Average Stresses and using Plate dimensions.

ABS Plate Buckling_stress

ABS OS Plate Buckling (2004) | Help | SDC Verifier

Stress on Element - which stress to check.

Average - average stress among element point of interests.

Min Midplane - minimum midplane stress (Stop + Sbottom / 2), without bending.

Use Absolute Shear for Plate Average - used only together with the plate average option and means that absolute shear is used for plate averaging:

ABS OS Plate Buckling (2004) | Help | SDC Verifier

With Absolute Shear option, higher shear stress is used for checking, that makes verification more conservative.

Standard uses material data (Yield/Tensile) in calculations. Wizard checks if the values are defined for all materials.

Plate Buckling Check is calculated on Sections. With the help of Panel Finder it is possible to automatically recognize Section and Plates with their dimensions.

By default, all sections are included in the selection but can be changed by pressing ABS OS Plate Buckling (2004) | Help | SDC Verifier. If sections were not recognized, press Button_panel_finder to run Panel Finder tool.

Check is passed if Ultimate Strength Limit ≤1 and Buckling State Limit ≤1.

Plate Buckling Results

Calculation approach

For individual loads and loads sets plate buckling is calculating based on formulas using stresses from load. For Load Group plate buckling is calculated as envelop. Load Group items are calculated using formulas and then min/max/abs is found. Load Group contains the worst values for each parameter and gives a possibility to check the highest Ultimate Strength and Buckling State Limits for all items at once.

Ultimate Strength Limit and Buckling State Limit depend on plate results (stresses) and plate dimensions (length, width and thickness).

Plate buckling check includes various options for stresses to be checked:

  • Element Stress: MidPlane (no bending) or Average;

ABS OS Plate Buckling (2004) | Help | SDC Verifier

  • Use Plate Average Stress - stress is averaged on plate using elements area. The calculation is performed on every element but with averaged plate stresses.

ABS OS Plate Buckling (2004) | Help | SDC Verifier

  • Use Absolute Shear for plate average (Conservative);

ABS OS Plate Buckling (2004) | Help | SDC Verifier

Note: for x and y direction only compression (negative) stresses is used in calculations. Positive stress is ignored and set 0. For the shear (xy) direction positive and negative stresses are used.

Stress Conversion

Plate Buckling check requires to verify element stresses (Sx, Sy and Txy) to be translated into the plate X, Y, XY directions.

Conversion of the stresses is done automatically in Plate Buckling check. For the element average option - the nodal element stresses at top and bottom are averaged (which is equivalent to using midplane centroid stress) and translated into plate directions. For Min Midplane option - the midplane stresses are translated into the plate directions and then the minimum values are taken.

SDC Verifier makes an assumption that plate elements are calculated without any output transformation and default values are used:

  • For triangle elements x stress is oriented along first ege (node1 -> node2 define 1 edge).
  • For quad elements x stress is oriented along Diagonal Bisector:

ABS OS Plate Buckling (2004) | Help | SDC Verifier

Plate Dimensions and Thickness

Results depend on plate dimensions and direction and it is important to understand how Panel Finder performs recognition. Length is considered the longest edge of plate and width the longest perpendicular to longest edge:

ABS OS Plate Buckling (2004) | Help | SDC Verifier

Plate dimentions can be calculated using CSR method - calculate equivalent rectangular plate dimensions described in Common Structural Rules (1 Jan 2018) Part 1, Chapter 8, Section 4 (2.3)

Calculations are performed on every element and thickness is taken directly from each element. It is possible to set thickness manually, in this case, element thickness will be ignored and user-defined thickness will be used.

Example: Plate with 2 properties 0.01 and 0.02 thicknesses. Left picture display property labels with property thicknesses and right presents plate buckling plot of thickness parameter:

ABS OS Plate Buckling (2004) | Help | SDC Verifier

Buckling State Limit

The buckling state limit for plate panels between stiffeners is defined by the following equation:

ABS OS Plate Buckling (2004) | Help | SDC Verifier

ABS OS Plate Buckling (2004) | Help | SDC Verifier

Where

η - maximum allowable strength utilization factor.(1 / Safety Factor, e.g. Sf = 1.25 then η = 1 / 1.25 = 0.8).

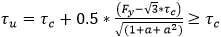
σxmaxymax - maximum compressive stress in the longitudinal/transverse direction

ABS OS Plate Buckling (2004) | Help | SDC Verifier - edge shear stress

ABS OS Plate Buckling (2004) | Help | SDC Verifier - critical buckling stress for uniaxial compression in the longitudinal/transverse direction.

ABS OS Plate Buckling (2004) | Help | SDC Verifier - critical buckling stress for edge shear.

Pr = 0.6 for steel, proportional linear elastic limit of the structures.

σo = Fy - Yield Stress.

ABS OS Plate Buckling (2004) | Help | SDC Verifier

ABS OS Plate Buckling (2004) | Help | SDC Verifier

t - plate (element) thickness, s - plate width, v - poison ratio = 0.3.

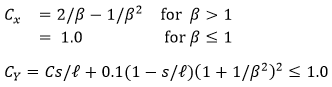
Buckling coefficient ks is calculated:

ks = 4.0*C1 - for longitudinal direction;

ABS OS Plate Buckling (2004) | Help | SDC Verifier - for transverse direction

ABS OS Plate Buckling (2004) | Help | SDC Verifier - for shear direction.

Where s / l - plate width to length ratio.

The coefficient C1 is equal to:

  • 1.1 for plate panels between angles or tee stiffeners;
  • 1.0 for plate panels between flat bars or bulb plates;
  • 1.0 for plate elements, web plate of stiffeners and local plate of corrugated panels.

C2 can be defined:

  • 1.2 for plate panels between angles or tee stiffeners;
  • 1.1 for plate panels between flat bars or bulb plates;
  • 1.0 for plate elements and web plates.

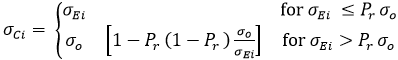
Ultimate Strength

The ultimate strength limit for plate panels between stiffeners is defined by the following equations:

ABS OS Plate Buckling (2004) | Help | SDC Verifier

ABS OS Plate Buckling (2004) | Help | SDC Verifier

η - maximum allowable strength utilization factor. (1 / Safety Factor, e.g. Sf = 1.25 then η = 1 / 1.25 = 0.8).

ABS OS Plate Buckling (2004) | Help | SDC Verifier - ultimate strength with respect to uniaxial stress in the longitudinal direction (not less than critical x buckling stress).

ABS OS Plate Buckling (2004) | Help | SDC Verifier - ultimate strength with respect to uniaxial stress in the transverse direction (not less than critical y buckling stress).

ABS OS Plate Buckling (2004) | Help | SDC Verifier - ultimate strength with respect to edge shear (not less than critical shear buckling stress).

ABS OS Plate Buckling (2004) | Help | SDC Verifier - plate length to width ratio.

ABS OS Plate Buckling (2004) | Help | SDC Verifier - Yield Stress.

ABS OS Plate Buckling (2004) | Help | SDC Verifier - coefficient to reflect interaction between longitudinal and transverse stresses. (negative values are acceptable).

ABS OS Plate Buckling (2004) | Help | SDC Verifier - slenderness ratio.

ABS OS Plate Buckling (2004) | Help | SDC Verifier